咨询电话:
400-867-5858
客户代表1
客户代表2
欢迎来到苏州爱玛特生物科技有限公司! 请
登录
/
注册
个人中心
购物车(
0
)件
我的订单
帮助中心
中
|
En
质量分析报告(CoA)
化学品安全说明书(MSDS)
服务热线 : 400-867-5858
首页
关于我们
产品介绍
公司动态
订购信息
参考文献
服务中心
联系我们
产品搜索
化学品搜索
全部
产品名称
CAS号
MDL
产品编号
检测报告(COA)
MSDS查询
产品介绍
首页
>
产品详情
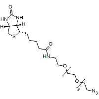
Biotin-PEG7-CH2CH2N3
中文名称:
产品编号:
b-1353
CAS No:
1334172-75-6
分子式:
C26H48N6O9S
分子量:
620.759
纯度:
97%
MDL号:
品牌:
Amatek Scientific
下载
加入收藏
分享到
规格
库存
价格(RMB)
小计
购买数量
选择
0.25g
0
¥
1800.00
¥
1800.00
0.5g
0
¥
2900.00
¥
2900.00
1g
0
¥
4500.00
¥
4500.00
5g
0
¥
Inquire
¥
Inquire
大包装询价
快速发布询价单
您要询价的商品
*
产品编号:
中文名称:
英文名称:
需求描述:
请准确填写您的联系方式,以便爱玛特科技为您提供最优的服务
*
公司名称:
请填写公司名称
*
电子邮箱:
请填写正确的邮箱
联系人:
*
手机号码:
请填写手机号码
产品信息
安全信息
参考资料
熔 点
闪 点
沸 点
存储条件
密 度
水溶解性
折 射 率
敏 感 性
物性数据